There were two types of motion:



LEFT-RIGHT BOX MOTION



DOWN-UP BOX MOTION
In this type of motion we have 200 images in each of the cases:
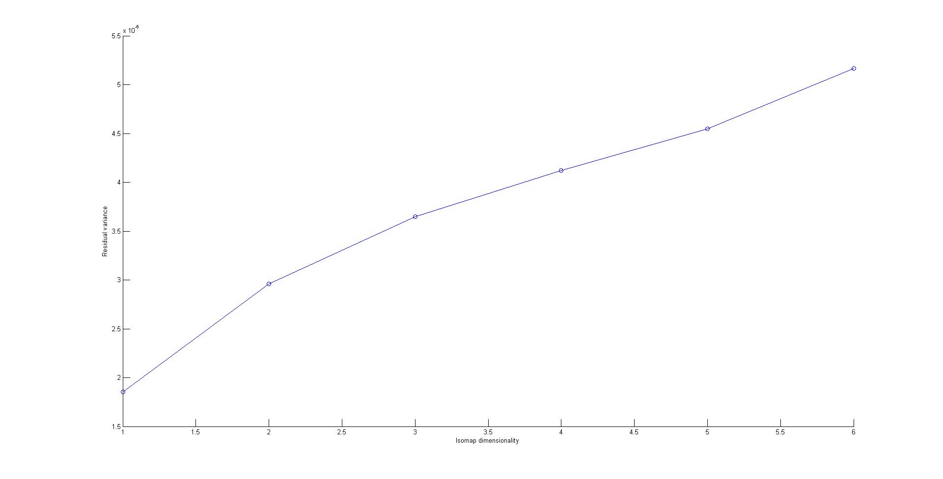
First we ran the image dataset on isomap algorithm these were the results we were getting:


In case when we ran it on MP algorithm we got 200 points of two clusters when two and three dimension was predefined.
DOWNLOAD links:
Box_1 (left-right motion of box)
Box_2 (up down motion of box)